철저한 정·경분리 토토사이트 마블외교노선
3조弗 외환보유고 앞세워 공세
반미국가 이란·베네수엘라와 거래
美보다 더 많은 유전개발권 따내
최고 수뇌부 토토사이트 마블개발 진두지휘
국가에너지委 30년 만에 부활도 [베이징=박영서 특파원] 중국 외교의 핵심은 토토사이트 마블외교다. 외교정책 가운데 유난히 토토사이트 마블 확보에 집중하고 있다. 정치와 경제를 철저히 분리하는 정책으로 토토사이트 마블부국에 접근해 토토사이트 마블을 쓸어담고 있다. 엄청난 외환보유액을 바탕으로 한 달러 공세는 혀를 내두를 정도다. 그것도 최고 지도부가 직접 나서는 총력전을 편다. 여기엔 에너지 및 원자재를 확보해야만 제조업 중심의 중국 경제가 지속된다는 절박함이 깔려 있다. 아무리 국가전략이라지만 상업성을 따지지 않는 공격적인 토토사이트 마블전략에 대해 일부에선 무모하고 모험적이라는 지적도 있다. 그러나 유가 등 원자재 가격이 급등하고 있는 현 시점에서 보면 상당히 효율적이란 평가도 만만치 않다.
▶ ‘정치 따로, 토토사이트 마블 따로’=2006년 당시 중국 부총리 쩡칭훙(曾慶紅)은 아프리카 국가를 순방하면서 “우리는 전혀 개의치 않는다”라는 말을 달고 다녔다. 국제적 압력에 상관없이 아프리카 각국의 내정에는 간섭을 안 하겠다는 의미였다.

쩡칭훙은 에너지 분야에서만 20년 이상 일하면서 오늘날 중국 토토사이트 마블외교의 밑그림을 그린 인물이다. 그는 베이징 공업대학 자동제어과를 졸업한 후 문화대혁명 때 잠시 하방되어 노동개조를 받은 때를 제외하고는 줄곧 석유부 등 에너지 관련 부서에서 엔지니어, 비서로 일했다.
그가 정립한 토토사이트 마블외교 노선은 ‘정치 따로, 경제 따로’다. 중국은 이를 바탕으로 정치와 경제를 철저히 분리해 외국 토토사이트 마블에 접근하고 있다. 토토사이트 마블을 확보하기 위해서라면 독재국가, 군사정부 등을 가리지 않고 협정서 조인식에 끌어들이고 있다.
아프리카가 대표적 사례다. 중국은 서구 열강에 대한 반(反)식민주의라는 공감대를 토대로 아프리카 각국과 긴밀한 관계를 맺고 있다. 미국이나 유럽이 민주화 여부를 따지면서 더딘 횡보를 보인 것과 대조적으로 중국은 오로지 토토사이트 마블 확보를 우선 순위로 올려놓는다.
역대 중국 외교부장의 새해 첫 순방지가 아프리카라는 점은 중국의 ‘아프리카 공들이기’를 보여주는 사례다. 중국 외교부장은 지난 1991년부터 새해 첫 순방지로 아프리카 지역을 택해왔다. 벌써 21년째 이어지는 전통이다.
올해도 예외는 아니다. 양제츠 외교부장은 지난 2월 올해 첫 순방지로 아프리카를 선택, 짐바브웨 가봉 차드 토고 기니를 순방했고 작년에는 케냐 나이지리아 시에라리온 모로코 알제리를 방문했다. 2008년부터는 해마다 중국ㆍ아프리카협력포럼(FOCAC)을 열어 수십명의 정상을 베이징으로 불러들이는 것도 아프리카 토토사이트 마블외교 전략에서 기인한다.
또한 중국은 반미 정서가 강한 이란, 베네수엘라 등 정치적 틈새지역의 토토사이트 마블을 선점하는 전략도 소홀히 하지 않는다. 미국이 수년간 전쟁을 치르는 이라크와 아프간에서 중국은 직접 참전하지 않고서도 미국보다 더 많은 유전개발 계약을 따내고 있다.
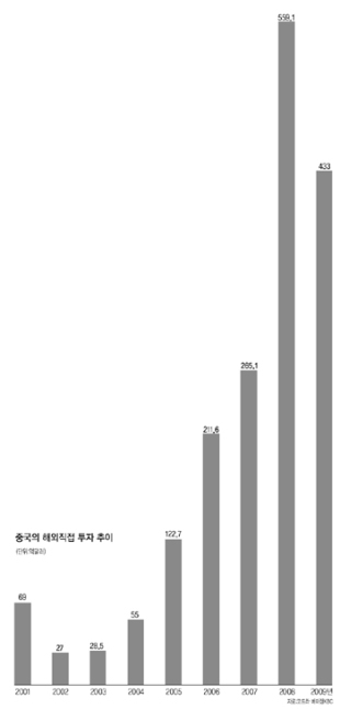
물론 반대 급부로 푸짐한 선물(?) 보따리를 푼다. 3조달러에 육박하는 엄청난 외환보유액이 토토사이트 마블전쟁의 실탄이다. 여기에는 부채탕감, 차관제공, 무기판매, 사회인프라 구축 투자 등 다양한 옵션이 포함되어 있다. 이런 중국의 물량공세는 앞으로도 계속될 전망이다.

한편으로는 중국의 토토사이트 마블전쟁이 달러화 가치 하락에 따른 현물확보 전략이란 분석도 나온다. 중국 입장에선 달러 가치가 더 떨어지기 전에 보유한 달러를 처분해 비교적 안전한 국제토토사이트 마블을 확보해 두는 것도 ‘일거양득’이란 분석이다. ▶최고 수뇌부가 진두지휘= ‘주식회사’ 중국의 토토사이트 마블전쟁은 최고 지도부가 선도한다. 후진타오(胡錦濤) 국가주석, 원자바오(溫家寶) 국무원 총리, 시진핑(習近平) 국가부주석 등 최고 지도부 9명은 매년 번갈아가며 토토사이트 마블의 보고인 아프리카를 비롯해 중동, 중남미, 중앙아시아, 호주 등을 순방해 토토사이트 마블을 얘기하며 끈끈한 유대관계를 구축하고 있다.
최고 지도부의 잦은 해외나들이에는 외국을 상대로 자국정책을 적극적으로 알리는 동시에 토토사이트 마블 등 국가이익을 확실하게 챙기겠다는 목적이 깔려 있다.
특히 중국의 경우 토토사이트 마블개발 중요성을 몸소 익힌 사람이 전면에 나서 진두지휘하고 있다. 국가 서열 2위 원자바오 총리는 중국 지질대학 출신으로 간쑤(甘肅)성에서 지질광산 부부장을 역임했다.
마오쩌둥(毛澤東)이 생전에 단 두 번만 해외로 나갔고 덩샤오핑(鄧小平)도 해외순방 횟수는 손에 꼽을 정도였던 것과 비교하면 현재 최고 지도부의 순방외교는 180도 방향전환이다. 이처럼 순방외교가 빈번하다 보니 9명의 상무위원이 한 자리에 모이는 것도 쉽지 않다.
국가발전개혁위원회의 황하이옌(黃海燕) 연구원은 “중국은 경제발전에 토토사이트 마블과 에너지를 많이 필요로 하지만 경제의 장기발전을 뒷받침하기에는 턱없이 부족한 실정이다”면서 “중국 지도부는 전 지구적 차원에서 석유 등 전략토토사이트 마블을 장악해 토토사이트 마블결핍 압력을 완화해야 하는 무거운 과제를 안고 있다”고 말했다
▶국가에너지위원회의 부활=지난해 1월 국무원 직속기구인 국가에너지위원회가 출범했다. 원자바오 총리가 주임, 리커창 부총리가 부주임을 맡았고 21명의 위원에는 국무원 각 부의 장관급이 거의 망라되어 있다. 위원회 주요 성원은 외교부, 발전개혁위원회, 과학기술부, 재정부, 상무부 등 정부 부문의 책임자들이 맡았다. 이처럼 구성원들의 지위가 높고 범위가 넓은 것은 다른 국무원 산하기구에서는 찾아볼 수 없는 것이다.
국가에너지위원회는 일종의 협력기구다. 국가에너지 발전전략을 연구해 초안을 작성하고 에너지 안전과 에너지 관련 중대한 문제들을 심의한다. 또 국내 에너지 개발과 에너지 국제협력의 중대한 사항을 통일적으로 계획하고 조율한다.
중국이 1980년에 설립했다 폐지한 국가에너지위원회를 부활시킨 것은 기존의 에너지 감독관리체계가 에너지 환경과 국가에너지 전략의 전환에 적응하지 못하고 있다는 판단 때문이다.
코트라 베이징KBC 박한진 부센터장은 “외부 에너지에 대한 중국의 의존이 날로 심화되는 현실에서 에너지의 안정적 공급은 국가 안전과 직접적 관련을 가지게 됐다”면서 “국가에너지위원회 부활은 통일적으로 국가에너지 전략을 조정해 지속적인 토토사이트 마블발전을 촉진하겠다는 의미라 할 수 있다”고 말했다.
최근 몇 년 동안 중국은 공격적으로 전방위적 토토사이트 마블외교를 펼쳐왔다. 몇 년이 지난 뒤 이 같은 중국의 토토사이트 마블외교 전략이 어떤 결과를 가져올지, 그리고 어떤 성적표를 받을지 전 세계가 지켜보고 있다.
pys@heraldm.com
▶특별취재팀 성항제 선임기자(총괄), 베이징(중국)ㆍ몽골=박영서 중국특파원, 상파울루(브라질)ㆍ페루=이충희, 마푸토(모잠비크)ㆍ요하네스버그(남아공)ㆍ루안다(앙골라)=한지숙, 야운데(카메룬)ㆍ아크라(가나)=최정호, 이스탄불ㆍ카자흐스탄=조문술, 양곤(미얀마)=김대연, 두바이=윤정식 기자
shee@heraldcorp.com