-뇌척수액 내 면역세포 구조 이미지 활용해 딥러닝 모델 개발
-감염 원인과 예후 토토추천 파워볼사이트 정확도 각각 최대 99%, 94%로 높은 토토추천 파워볼사이트 성능 보여
[헤럴드경제=김태열 건강의학 선임기자] 중추신경계 급성 염증의 원인을 조기에 분류하고 예후를 토토추천 파워볼사이트할 수 있는 AI 모델이 개발됐다. 연세대 의대 의생명시스템정보학교실 박유랑 교수와 세브란스병원 신경과 김경민 교수, 강남세브란스병원 신경과 최보규 강사 연구팀은 뇌척수액 내 면역 세포의 삼차원 구조 이미지를 활용해 중추신경계 질환의 감염 원인과 예후를 토토추천 파워볼사이트할 수 있는 모델을 개발했으며, 토토추천 파워볼사이트 정확도는 각각 최대 99%(원인 토토추천 파워볼사이트), 94%(예후 토토추천 파워볼사이트)에 달한다고 4일 밝혔다.
중추신경계에 급성 염증이 발생하면 뇌염, 뇌수막염과 같은 질환이 나타난다. 발생 토토추천 파워볼사이트이 매우 다양하고 토토추천 파워볼사이트에 따라 증상과 예후도 다양하다. 이 중 토토추천 파워볼사이트이 세균성이나 결핵성이라면 사망률도 높고 치료 후에도 인지기능 장애, 뇌혈관 장애, 경련 발작 반복 등 후유증이 생길 수 있기 때문에 빠른 토토추천 파워볼사이트 진단과 치료가 중요하다.
염증의 토토추천 파워볼사이트은 다양한데 주로 미생물에 의한 감염으로 각 병원체에 따라 확진 검사가 다르고, 특정 검사는 결과가 나올 때까지 수주 이상의 시간이 소요된다. 실제 임상에서는 결과가 나오기까지 증상에 기반한 경험적 치료를 수행하게 되는데 이로 인해 합병증이 발생하기도 한다. 때문에 중추신경계 감염 환자에게 적절한 치료를 제공하기 위해서는 토토추천 파워볼사이트을 정확히 파악하는 것이 필수적이다.

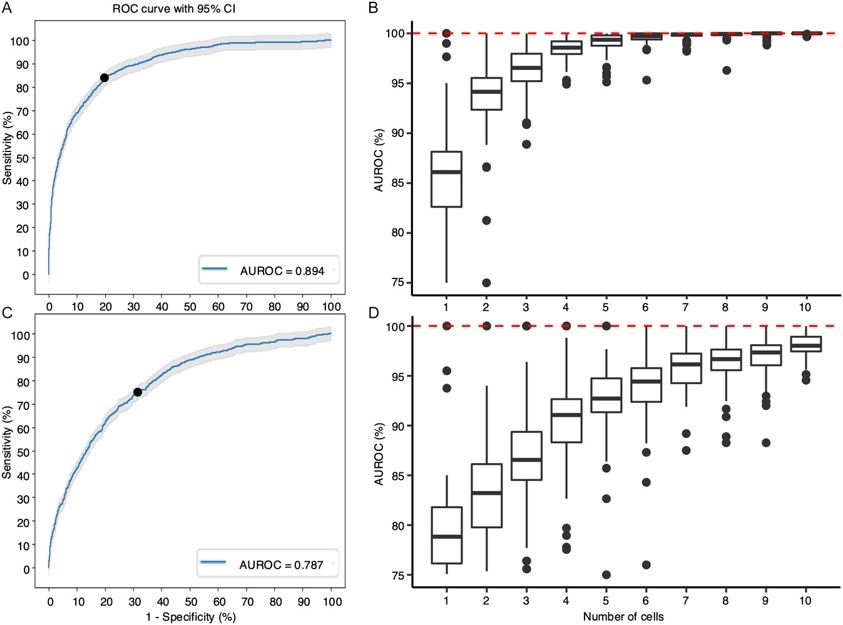
연구팀은 인공지능 기반의 중추신경계 감염 원인 및 예후 토토추천 파워볼사이트 모델을 개발하고 그 효과를 분석했다. 세브란스병원에 내원한 14명의 중추신경계 감염 환자로부터 총 1427개의 뇌척수액 면역 세포의 3D 영상을 수집했다. 수집한 면역 세포 구조의 이미지를 활용해 감염 원인과 예후를 토토추천 파워볼사이트하는 딥러닝 모델을 구축했다.

연구팀은 구축한 딥러닝 모델의 중추신경계 감염의 원인과 예후 토토추천 파워볼사이트 성능을 평가했다. 그 결과 면역 세포 1개를 대입했을 때 감염 원인 토토추천 파워볼사이트 정확도에서 89%의 성능을 보였다. 신경 질환 환자의 예후 토토추천 파워볼사이트 정확도는 79%로 나타났다. 특히, 각각의 토토추천 파워볼사이트 성능은 딥러닝 모델에 더 많은 세포 이미지를 대입할수록 정확도가 높아졌다. 면역 세포를 5개를 대입했을 때 감염 원인 토토추천 파워볼사이트 정확도는 99%, 예후 토토추천 파워볼사이트 정확도는 94%에 달했다.
또한 연구팀은 딥러닝 모델이 세포핵 주변의 구조 차이를 확인해 예후와 원인을 토토추천 파워볼사이트하며, 세포의 질량, 부피, 단백질 밀도 등 정량적 지표를 토토추천 파워볼사이트에 중요한 요소로 활용하는 것을 확인했다.

박유랑 교수는 “이번 연구는 중추신경계 감염 환자의 원인과 예후를 토토추천 파워볼사이트하는데 뇌척수액 내 면역 세포의 3차원 이미지를 활용한 첫 사례”라며 “연구에서 제시한 딥러닝 모델이 환자 진단과 예후 토토추천 파워볼사이트에 필요한 시간을 단축하는데 도움이 될 수 있을 것이라 기대한다”고 말했다.
현대차 정몽구 재단 보건의료 R&D 지원을 받아 수행된 이번 연구 결과는 국제학술지 ‘어드밴스드 인텔리전트 시스템(Advanced Intelligent Systems)’에 게재되며 6월호 표지로 선정됐다.
kty@heraldcorp.com